Mathe 9
Ähnlichkeit und Strahlensätze



2026-02-04 bis 2026-03-09 Thema Rückschlüsse aus Baumdiagrammen als Projektarbeit
Anfang unten, zu den vier Bereichen gibt es jeweils einen „Bist du fit?“-Test
Schnelltest-Rechner bei geogebra.org, auch hier auf der website unter mathe-mit-schnelltests


Bedingte Wahrscheinlichkeiten – Video „Herr Locher“
Prototyp Baumdiagramme – VFT: Fehler im Buch auf S. 82

Bin ich fit? Nr. 2 bei LearningApps.

Zusatzinformation: 4 Personen sind schon 15 und haben ein neues Handy.
Bin ich fit? Nr. 1 bei LearningApps.
01 Arbeitsplan
2026-01-18 Satz von Viëta und Anwendungsaufgaben
Arbeitsheft S. 24 und Buch S. 57 Nr. 4 und 6

2026-01-07 Lösungsstrategien

2025-12-18 p-q-Formel


2025-12-17 Darstellungsformen quadratischer Gleichungen



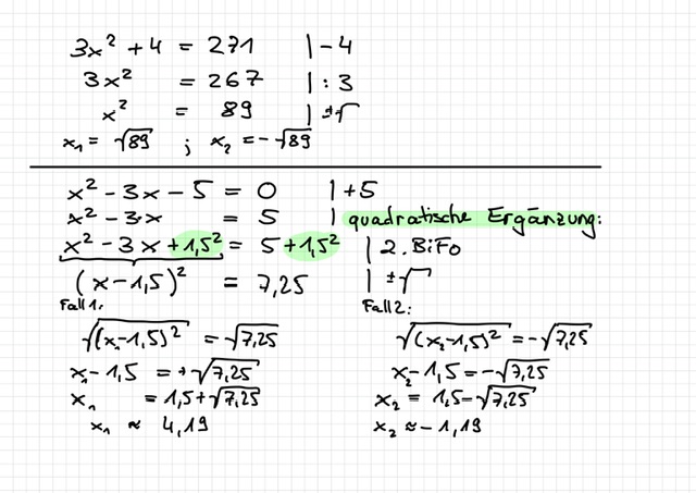
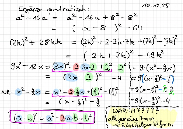
2025-12-04 Quadratische Ergänzung




2025-11-26 Arbeit Nr. 2 „Quadratische Gleichungen“
- Wertetabellen und Graphen erstellen und interpretieren
- Parabeln / Wertetabellen / Funktionsterme zuordnen (Streckfaktor/ Verschiebung)
- begründet Entscheiden / berechnen: Liegt ein Punkt auf dem Graphen?
- Bestimmung der Parameter aus Punkten
2025-11-20 Scheitelpunktform f(x) = a . (x – b)2 + c

2025-11-18/19 Verschiebung in x-Richtung f(x) = (x – b)2

2025-11-12 Verschiebung in y-Richtung f(x) = x2 + c



2025-11-05 Strecken/Stauchen und Spiegeln f(x) = a x2




2025-10-29 Quadratische Funktionen – Einstieg


452-32-42 Wurzelgesetze – Rechnen mit Wurzeltermen






2025-32-42 (Quadrat-)Wurzeln
b = \sqrt a ~ ~\text{wenn} ~~ b^2 = a \newline \text{} \newline (a;b \in \mathbb{R} ^+_0)Die Quadratwurzel einer Zahl a
ist die positive Zahl b,
die mit sich selbst multipliziert
die Zahl a ergibt.





2025-09-09 Übungen Buch S. 14
2025-√81-√100 Quadrieren <-> Wurzelziehen mit Übung (Radieschen-Puzzle)


2025-08-27/28 Zahlenmengen, neu: Irrationale Zahlen




2025-09-04 Übungen im Buch S. 11 und im Arbeitsheft S. 10