Physik 9b
2026-01 Experimente mit Schnee und Eis: Temperaturkurve beim Schmelzen

2025-12 Physik im Advent
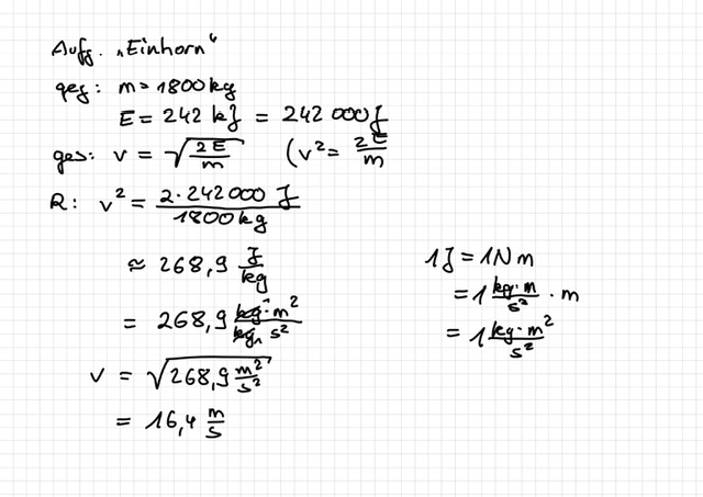
2025-11 Aufgelöste Formeln und Einheiten-Umrechnung


2025-11 Eigene Aufgaben




2025-10 Vermischte Aufgaben



2025-10-27 Formelsammlung Energie


2025-09-08 Mechanische Energiespeicher



2025-08-28 Steckbrief erstellen: Energiespeicher“


2025-08-21 Begriffssammlung „Energie„

2025-08-25 Definition „Energie“, Wissenswertes über Einheiten

